
The “considerable” rating can lull backcountry users into complacency. Photo: Unsplash
If you had a considerable chance of winning the lottery this week, would you buy a ticket?
I’m going to guess the answer is yes. But if we flip that to asking if there was a considerable chance of triggering an avalanche, would you still go onto that avalanche-prone slope? Sadly, many people do every year and the outcome is tragic.
We all know the saying, “knowledge is power.” But power is relative. No matter what power we can possibly muster as humans, it doesn’t hold a candle to what Mother Nature can do under the right circumstances.
Under the right circumstances.
It’s worth saying again because there are times when it’s safer to be in the backcountry than it is to be driving the 405 freeway at rush hour. Many times, in fact, when you boil down the numbers. There are, however, many days when it’s quite the opposite. Nature’s fury could wreak havoc any number of ways, leaving you and whomever was foolish enough to join you to chill on ice until sometime later in the spring when your still-preserved carcass once again sees the light of day.
OK, maybe that last line was a bit graphic, but hopefully it instills the idea (if it hasn’t already been drilled into you) that the mountains are no place to be reckless with odds. If you play poker and have ever flopped a full house, you might be surprised to know that the odds of that happening are 1,000 to 1. Even if you haven’t I’m sure there’s been a situation or two in life where Lady Luck dealt you some other hand where you had to remark, “what are the odds?” Yet when we look at the odds of unfavorable situations, we tend to tread on the edge where we are too close to a bad outcome.
Enter one of the most dangerous situations in avalanche decision making: the considerable rating.

Courtesy Avalanche Canada
Sitting right there in the middle of the avalanche danger scale provided weekly by most avalanche reports across North America, this rating is deceptive in its location relative to other ratings. When forecasters release avalanche reports, they provide a rating on the scale, above. When people see “considerable” they often think, “well, it’s not high, so I must be good.” But if we actually read the description (above) and what the experts are trying to tell us with this rating, it’s not exactly rainbows and cherry blossoms: “Dangerous avalanche conditions. Careful snowpack evaluation, cautious route-finding and conservative decision-making essential.”
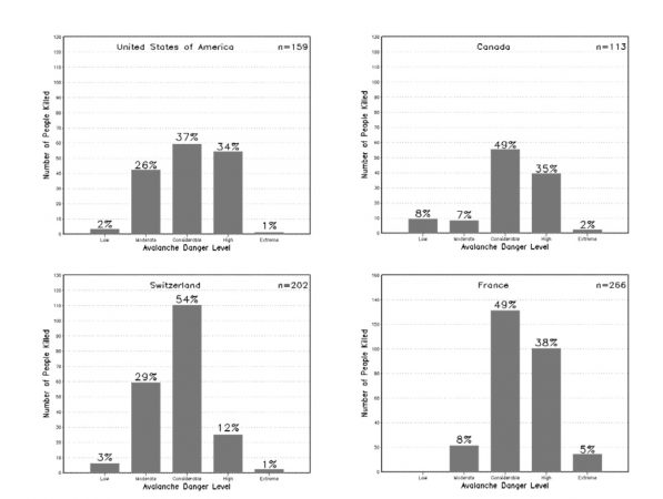
The other characteristic that can spell trouble is that while natural avalanches are possible, human-triggered avalanches are likely. So when people are out there and look around seeing no avalanche activity, they might erroneously judge the conditions as safe. As you can see in the chart below, that leads to disastrous consequences. In a study of the danger ratings on days with fatal avalanche accidents, days where the rating was considerable had the most fatalities.

Source: Greene, Weisinger, Birkeland, Coléou, Jones, Statham, “Fatal Avalanche Accidents And Forecasted Danger Levels: Patterns In The United States, Canada, Switzerland, and France”
It’s also interesting how the second-most fatal rating differs from country to country, but that’s a story for another day on education and upbringing relating to assumption of risk. But the data here paints a clear picture: people let their guard down when the danger rating is in the middle of the chart.
So now that we’ve got that behind us, what can we do? Nobody wants to stay home if there’s fresh snow. Especially if it’s on a weekend, and bonus points for a clear day. I’m not here to poop on anyone’s party; in fact one can still enjoy the backcountry on those considerable days. It usually involves looking a bit deeper than the 1-5 scale to see what exactly is causing those issues. Most bulletins these days have a “problems” section. This is where the forecaster gives you some insight into why they chose the rating they did, with much more specific info regarding the slope aspect and what’s happening on those crucial top layers of the snowpack.

Courtesy Avalanche Canada
The graphic above is for the Sea-to-Sky region in British Columbia the day after it snowed about 25-40cm (or just over a foot if you’re not into metric) after a dry spell of several weeks. And yes, the rating is “Considerable.” You see that there are four different factors they include: Elevation, slope aspect, chance (or likelihood) of avalanches being triggered, and the expected size on a 1-4 scale. While this particular rating does not have much isolated info, that’s because it’s relating to the storm slab on top of a noticeable crust, so it’s basically saying to give the new snow some time to bond to the layer below it. If a big wind event had been the concern, you might see the problem being only at the alpine (above treeline) level and on aspects that oppose the wind direction. But the bottom line is that the bulletin has more info than a simple rating, and diving deeper into what the specific problems are helps us to make much more educated decisions.
Many forecasters will say it in plain English, with something along the lines of: “Avoid wind-loaded slopes and convex rollovers.” If that sentence made sense, then adjust accordingly. If that sounded like gibberish, then it’s time to get a bit more educated on going without a guide.
At a bare minimum, you should know the Avaluator chart and even keep one handy for reference when out there. This simple diagram below helps people decide what terrain to use when out there in case it’s a bit unclear:

Courtesy Avalanche Canada
In addition to learning the ratings, it’s also wise to understand the differences between simple, challenging, and complex terrain. That helps you to find the good spots even when the snowpack is sketchy. There is always something to do out there, and maybe it’s simply making snow angels down low and digging some cool tunnels. But chances are there will be some fun to be had in lower angle (see not steep) terrain. So don’t be afraid, be educated! The more you know, the safer you’ll be, and hopefully be able to do it all again the next day – and for many years to come.
Editor’s Note: Interested in safely riding untracked powder in the backcountry? There’s a lot to learn. In his introductory course, Nick Russell’s Guide to Backcountry Basics, big mountain snowboarder Nick Russell shares a lifetime of knowledge and information essential to begin your journey in the backcountry. Find it here.
